头像
樊炜 副教授

理学院

通讯地址:

个人邮箱:fanwei@just.edu.cn

邮政编码:

办公地点:文理大楼854

传真:

  • 个人简介

  • 研究方向

  • 科研团队

  • 科研项目

  • 获奖动态

  • 教学随笔

  • 教育经历

  • 课程教学

  • 论文著作

  • 科研论文

  • 科研横向项目

  • 科研纵向项目

  • 科研专利

  • 科研动物专利

  •   男,88年生于山东。2019年于美国东北大学获物理学PhD,主要从事高能理论物理的研究,以解析计算入手来分析物理问题,从而发现一些相关规律。也喜欢与学生一块儿,以数值工具入手研究一些非线性量子力学中的问题。在JHEP, Nucl.Phys.B, PRA等期刊发表多篇论文,担承国家自然科学基金青年基金项目一项,获江苏省双创博士。


    学生指导

        【本科生:】本人非常欢迎“对理论物理的细节感兴趣,具有很强的兴趣驱动和自主学习能力”的本科生,一起合作,发现新的有趣的现象,特别是对理论物理感兴趣的转专业学生。 


        【研究生:对于打算报考本人研究生的同学,(1)你需要拥有在面对不断地失败时,仍然保持百折不挠的心境的能力。本人的研究内容,需要不断地试错(try and error),在不停地尝试各种计算方法以及不停地失败之后,最终才能找到正确的结果、合理的物理规律。你可能想像着在研究时,你会“妙笔生花,行云流水,胸有成竹”;但真正做研究时,实际发生的是“一顿操作猛如虎,一看结果二百五”,在多次尝试之后,才能找到正确的方法。(2)你需要拥有主动性、自学能力、扩展能力。当我告诉你1+1=2时,你要自己去想到1+2、1+3、扩展到加法(而不是我告诉你1+1=2,你就只学到1+1=2,然后等着我来告诉你1+2=3)。理论物理是凭兴趣出发的研究,你应该是主动地去探索它、去学习相关内容,而不是等待别人给你布置任务。就像你打游戏一样,你是自己主动地去打、去学习游戏相关地内容,而不是别人给你布置任务每天做游戏中的具体内容。

       目前指导的硕士生:21级张会鹏(2414751208@qq.com),22级陈泓妤(783617046@qq.com)、22级段星星(1821965219@qq.com),23级黄著安(303937674@qq.com),23级赵子健(1301808759@qq.com),24级刘天鑫,24级刘丛源。

  • 研究方向简介

      本人所有的研究都是以具体的物理问题为出发点,如果抛开具体的物理背景和意义,只看表面的表现形式的话,主要在做的事情就是:解析计算复变函数积分(费曼图),用Mathematica进行符号运算(推导繁琐的公式),数值计算并画图(用python, mathematica, C++等算矩阵和微分方程)。

    [1] 高能理论物理,主要是计算各种散射振幅,从而发现相关规律。主要涉及superstring (超弦), scattering amplitudes(散射振幅), celestial conformal field theory(天球共形场论)。 

    [2] 非线性物理,包括:numerical bootstrap, entanglement(量子纠缠), Bose-Einstein condensation(玻色-爱因斯坦凝聚)。

      本人还有一些感兴趣的问题,但是个人没有精力开展具体的研究: 统计场论、临界现象、深度学习和重整化群的交叉研究,冷原子、黑洞、纠缠和全息的交叉研究, 非平衡统计、经济学和社会学的交叉研究。

      欢迎对以上内容感兴趣的学生报考研究生。


    发表论文如下(按照高能理论物理的惯例,以下论文的作者按照姓氏字母排序;但是对于与本科生合作的论文,按照学校的要求,本科生排在第一位。):

    (*) Wang Minjia and Fan wei, The integrable Bullough-Dodd model under celestial holography2503.15174 (与本科生合作)

    (*) Li Zhuoran and Fan wei, Statistical features of quantum chaos using the Krylov operator complexity, 2411.18436 (与本科生合作)

    (*) Fan wei, Massless limit and conformal soft limit for celestial massive amplitudes, 2404.05137

    (*) Fan wei, Celestial conformal blocks of massless scalars and analytic continuation of the Appell function $F_1$, 2311.11345

    (*) Fan wei, Zhang huipeng, Li Zhuoran, Unify the effect of anharmonicity in double-wells and anharmonic oscillators, 2309.09269 (与硕士生合作)

    (*) Fan wei, Nontrivial zeros of the Riemann zeta function on the celestial circle, 2308.15743.

    (*) Fan wei, Zhang huipeng, Non-perturbative instanton effects in the quartic and the sextic double-well potential by the numerical bootstrap approach, 2308.11516 (与硕士生合作)

    (*) Fan W., Fotopoulos A., Stieberger S., Taylor T.R. &  Zhu B., Celestial Yang-Mills amplitudes and D = 4 conformal blocks, 2206.08979

    (*) Fan W., Fotopoulos A., Stieberger S., Taylor T.R. &  Zhu B.,Elements of celestial conformal field theory, 2202.08288

    (*) Fan W., Fotopoulos A., Stieberger S., Taylor T.R. &  Zhu B.,Conformal blocks from celestial gluon amplitudes. Part II. Single-valued correlators, arXiv:2108.10337

    (*) Fan W., Fotopoulos A., Stieberger S., Taylor T.R. &  Zhu B.,Conformal blocks from celestial gluon amplitudes, arXiv:2103.04420

    (*)  Fan W., Fotopoulos A., Stieberger S., & Taylor T.R., On Sugawara construction on Celestial Sphere,  arXiv:2005.10666  

    (*) Fan Wei, Fotopoulos A. & Taylor T.R., Soft Limits of Yang-Mills Amplitudes and Conformal Correlators, arXiv:1903.01676 

    (*) Wei Fan, Wilson loop of the heterotic sigma model and the sv-map, arXiv:1808.02605

    (*) Wei Fan, A.Fotopoulos, S.Stieberger, T.R.Taylor, Sv-map between type I and heterotic sigma models, arXiv:1711.05821

    (*) Wei Fan, Yan Xu, Bing Chen, Zhaoyang Chen, Xunli Feng, and C. H. Oh, Quantum phase transition of two-mode Bose-Einstein condensates with an entanglement order parameter, arXiv:1108.2768

    (*) Bing Chen, Wei Fan, and Yan Xu, Adiabatic quantum state transfer in a nonuniform triple-quantum-dot system, arXiv:1010.3505

    -------------------------------------------------------------------------------------------------------------

    研究方向的背景介绍: 

    (I) hep-th:  高能理论物理


    高能物理学(high energy physics)致力于研究自然界最基本的物质构成,或者物质最根本的组成单元,包含实验(hep-ex)、格点计算(hep-lat)唯象(hep-ph) 理论(hep-th)这几个大的方向。实验中常用的方法是粒子碰撞,目前最大的装置是欧洲核子中心(CERN)的大型强子对撞机(LHC),质子的碰撞能量达到了十几个TeV量级(所探索的相应长度尺度为10^{-18}m左右); LHC2012年发现了希格斯粒子,验证了粒子物理学标准模型(standard model)中的质量生成机制;标准模型成功地预言并解释了目前观测到的所有的基本粒子,将电磁作用、弱相互作用(与衰变现象相关)和强相互作用(与夸克相关)三者统一在规范场论的框架之下,是目前最复杂且成功的物理理论。但是,标准模型也有一些不完美的地方,比如没有包括引力作用,以及理论自身的层级疑难(hierarchy problem)。为了解释这些问题,物理学家正在研究各种超越标准模型的物理理论,其中最著名的可能就是超弦理论(超弦理论所探索的相应长度尺度为10^{-35}m左右)高能理论物理学研究的内容便是标准模型以及各种超越标准模型中的普适物理原理和数学规律,是一个极为广阔的研究领域,并且通常和纯粹数学(比如数论,代数几何,代数/微分拓扑)联系在一起。

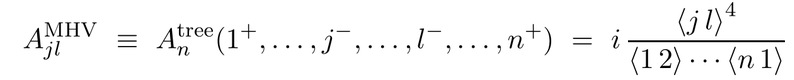
    本人的主要研究内容属于散射振幅领域。在高能物理中,基本粒子的相互作用过程是由散射过程来描述的,这是一个实验上的可观测过程,散射结果由散射截面(一种概率分布)来描述,而这个可观测量的理论值可以经过计算(描述散射过程的)散射振幅来获得,相应散射振幅的计算最终可转化计算相关的费曼积分(费曼积分是一种泛函积分,在物理上由费曼图表示,其中树图代表经典物理的结果,圈图则代表量子物理对经典物理的修正)。散射振幅领域主要是通过解析方法来研究量子场论和超弦理论中的各种散射振幅,来发现一般的物理原理和数学规律(或者用数值方法来计算复杂的、有意义的散射振幅)。除了复分析的方法之外,散射振幅也用到了同调代数的方法,并且已经与数学中的数论领域有了深度的融合。散射振幅领域最为经典的结果是Parke-Taylor公式

    这是量子色动力学(QCD)中任意数目胶子的树级散射的解析结果。胶子的散射过程是非线性的,费曼图的数目随着胶子数目的增加而发散,比如对于5个胶子的树图就已经需要计算2485个费曼图,对于6个胶子的树图则要计算34300个费曼图;然而其最终的结果可以表述为一个简洁的解析结果,这是一件很神奇的事情,这意味着其背后蕴含着深刻的、简洁的物理原理。


    天球共形场论(CCFT):

        天球共形场论是最近几年新兴的一个研究领域,是规范/引力对应、引力的渐近对称和散射振幅三个领域内的交叉结果。核心问题寻找四维闵氏时空的共形场论对偶,即研究二维天球上的共形场论是否就是四维闵氏时空中的物理内容的全息描述,而四维闵氏时空的物理就是爱因斯坦理论下描述我们宇宙的理论。一方面从上世纪60年代以来,人们对广义相对论的解在天球的渐近对称进行了大量研究;另一方面从上世纪90年代以来,人们发现了反德西特空间中的引力理论与欧氏空间的共形场论之间存在对偶关系。两个方面的研究交汇在一起,并且和散射振幅领域结合起来,形成了天球共形场论的研究内容。


    超弦散射振幅中的单值映射:

        超弦理论是一个基于量子引力的大一统物理理论,其中出现了许多的数学结构,这些数学结构也是同时代纯粹数学的前沿研究对象,比如Kac-Moody代数,Calabi-Yau流形等著名的例子。近十年,人们在超弦的散射振幅中发现多重zeta值及其单值映射(single-valued map),而单值映射也是代数数论领域最近才发现的数学结构,所以超弦物理又与数论中的前沿研究结合在一起。




    -----------------------------------------------------------------------------------------------------------

    感兴趣方向: 统计场论、临界现象、深度学习和重整化群的交叉研究

    (To be filled)

    -------------------------------------------------------------------------------------------------------------

    感兴趣方向: 冷原子、黑洞、纠缠和全息的交叉研究

    (To be filled)

    -------------------------------------------------------------------------------------------------------------

    感兴趣方向: 非平衡统计、经济学和社会学的交叉研究

    (To be filled)


  • 2013-2019: 高能物理-理论方向, Ph.D.  Northeastern University (Boston) 

    2010-2013: 自旋电子学,硕士, 山东科技大学

    2006-2010: 应用物理学,学士, 山东科技大学


  • 研究生《高等量子力学》

    本科生、研究生《数学物理方法》

    本科生《大学物理实验》

Baidu
map