2025理学院第一批调剂复试名单公示

发布时间:2025-04-08动态浏览次数:1946

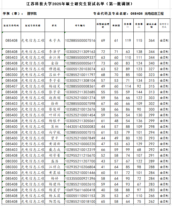
2025年raybey雷竞技 理学院研究生复试名单(第一批调剂)

根据理学院研究生复试细则(已发布公告),2025年理学院物理学学硕、系统科学学硕、光电信息工程专硕、应用统计专硕第一志愿拟复试名单公示如下:


Baidu
map